Solving Your Complex Problems with Advanced Synthesis and Analysis Support

About Us

WELCOME TO AMZEAL RESEARCH

A global leader in high quality pharmaceutical reference standards, stable isotope labelled products, metabolites and complex research products, Amzeal is a technology based, research driven enterprise with the world's largest inventory. We also, offer custom synthesis services of up to kilogram-quantities of materials for a wide range of industrial and academic customers.

We've Repution for Excellence

We Build Partnerships

Guided by Commitment

A Team of Professionals

Our Mission

To be a wide range of products supplier of impurities and specialty chemicals to the global market, with a commitment to.

Strong customer satisfaction through reliable and consistent delivery with high standards of quality.

Developing long-term relationship with our client should be prioritized ahead of short-term goal.

Sustainable development by reducing environmental impact.
facts-img

0+

Products

facts-img

0+

SCIENTIST

facts-img

24/7


SUPPORT
facts-img

0+

COUNTRIES EXPERIENCE

We Are Specialists In

What We Do

Certified Impurity Standards

We are the manufacturer and supplier of Certified reference standards and In house Impurities as per EP/USP/IP/BP/JP.

Impurity Isolation and Purification

Isolation and Purification of Known and Unknown Impurities from milligram to gram scale

Custom Synthesis

Custom Synthesis of Complex Organic Molecules in a stipulated timeline

service-avater-image

Analytical Services

Provides analytical services like HPLC, MASS, 1H NMR, 13C NMR, Q NMR, IR, TGA, Chiral Purity, LOD

Research Chemicals

Chemical substances used by scientists for scientific research and development purposes

Process Development

Develop new synthetic routes from the beginning or modify and optimize processes provided by customers

 

Recent Additions

© Amzeal Research


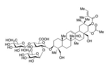
img
CAT No : AM-A20179
CAS No : 6805-41-0
Molecular Formula : C55H86O24
Molecular Weight : 1131.26


© Amzeal Research


img
CAT No : AM-A20178
CAS No : 4672-37-1
Molecular Formula : C3H7O3P
Molecular Weight : 122.1


© Amzeal Research


img
CAT No : AM-A20177
CAS No : 34163-96-7
Molecular Formula : C3H5O3P
Molecular Weight : 120.0


Accreditation